设为首页
收藏本站
首页
党群部门
经济管理部门
社会事务部门
监督执法部门
苏木乡镇场
当前位置:
首页
苏木乡镇场
希伯花镇
珠日河茫哈嘎查
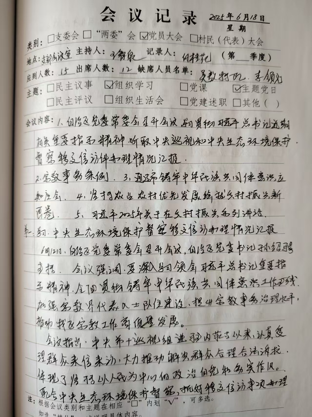
2025年6月18日主题党日全体党员学习内容
2025年6月18日主题党日全体党员学习内容
发布日期 2025-06-30 15:13:19